El siguiente es el horario con el que trabajaremos desde la presencialidad:

Cabe la pena notar que nos subdividimos en dos grupos A y B que vienen en semanas intercaladas al colegio para cumplir con el aforo y las medidas de seguridad contra el covid 19.
Durante la semana que no vienes al colegio, en esta página quedarán montados los videos, trabajos y/o resúmenes de las clases para que a partir de ellos realices los trabajos y los subas al CLASSROOM.
GRADOS ONCE (1103-1104-1105-1106)
Nuestro tema de trabajo es la Electricidad y los circuitos eléctricos (REALIZA RESUMEN EN TU CUADERNO DE LA SIGUIENTE INFORMACIÓN):
EVENTOS ELECTROMAGNÉTICOS
¿PODEMOS INTERPRETAR ELÉCTRICAMENTE LO QUE VEMOS Y LO QUE ESCUCHAMOS?
Sabiendo que el Cerebro es un elemento que interpreta lo que nuestros sentidos nos muestran, vamos a introducimos a el tema ELÉCTRICO para ver que tanta simulación puede el hombre recrear de lo que sentimos. Para complementar este periodo (el más difícil, por cuestiones de tiempo) trabajaremos simultáneamente en nuestra preparación para la PRUEBA SABER ONCE-ICFES recogiendo elementos que nos sirven para su análisis. Al finalizar este periodo iniciaremos nuestro PROYECTO DE ELECTRÓNICA.
ELECTRICIDAD
Como introducción a las formas de Energía te recomiendo leas los artículos relacionados en 6en la clase.
Para iniciarte en el tema de los ELÉCTRICOS te recomiendo LEER y TRANSCRIBIR AL CUADERNO LA INFORMACIÓN SOBRE MEDICIÓN DE RESISTENCIAS ( NO OLVIDES EL CÓDIGO DE COLORES), LA LEY DE OHM Y SUS APLICACIONES EN CIRCUITO SERIE Y PARALELO espero tus preguntas en Clase
ATTE
TPJ
LA ENERGÍA ELÉCTRICA
PRINCIPIOS BÁSICOS
MEDICIÓN DE RESISTENCIAS POR CÓDIGO DE COLORES
Con ya sabemos con el fin de mantener un control sobre los voltajes y las corrientes existen las resistencias eléctricas, las dimensiones y los materiales de su elaboración determinan su grado de resistencia .
Una vez elaboradas las resistencias son identificadas con un código de colores:

Para calcular el valor de una resistencia de acuerdo a su código se procede de la siguiente forma:
Veamos un ejemplo:
1. Colocamos la resistencia de tal manera que el color dorado o plateado característico de la última banda quede a mano derecha tal como en la figura

2. Procedemos a identificar Las bandas, la primera y la segunda banda que de acuerdo a la tabla son las BANDAS SIGNIFICATIVAS se toman de la primera columna de datos. La tercera banda se toma de la segunda columna o BANDA MULTIPLICATIVA y la cuarta banda o BANDA DE TOLERANCIA se toma de la última columna. En nuestro ejemplo serían:


3. Los dos primeros datos por ser significativos se toman sin modificación alguna uniéndolos, es decir nuestra resistencia vale 25
4. Luego tomamos este valor y lo multiplicamos por el valor de la tercera banda, es decir: 25 X10 =250.
5. Obtenemos un valor que es nominal de la Resistencia (250Ω), dicho valor por situaciones de elaboración u otros factores puede variar; por tal razón se deja una cuarta banda o BANDA DE TOLERANCIA. Dicho valor es un porcentaje que debe ser sumado y restado al valor nominal de la resistencia. En el ejemplo:

6. Entonces el valor de la resistencia fluctúa entre dos valores, uno máximo (262.5Ω) y uno mínimo (237.5Ω). Si al medir con el MULTÍMETRO la resistencia obtenemos u valor superior al máximo o menor que el mínimo; la resistencia está defectuosa.
TU PROFE JULIO ESTUPIÑAN

LEY DE OHM
El profesor de Colegio, Georg Simon Ohm en 1827 luego de múltiples indagaciones hechas de forma autodidacta en su mayoría; encuentra una relación entre: DIFERENCIA DE POTENCIAL (VOLTAJE) e INTENSIDAD DE CORRIENTE (AMPERAJE), dicha relación se expresa mediante un concepto que involucra la naturaleza del material en que está elaborado el conductor de energía y sus características dimensionales, esta relación se llama: RESISTENCIA.
La fórmula que establece dicha relación es conocida como la ley de OHM:

Donde:
V=Diferencia de potencial (Voltios)
I= Intensidad de Corriente (Amperios)
R= Resistencia (Ohmios)
Como podemos observar este descubrimiento hace que las unidades de medida de la Resistencia reciban el nombre de su autor.
La ley de Ohm involucra nuevos conceptos acerca de la transmisión de la energía, basados en los conocimientos de flujo de calor de Fourier publicados en 1822.
La Ley de Ohm tiene una ligera variación dependiendo del tipo de circuito, lo cual veremos más adelante.
TU PROFE JULIO ESTUPIÑAN.
LEY DE OHM PARA UN CIRCUITO ELÉCTRICO CON RESISTENCIAS EN SERIE
Para ingresar al estudio de este tema, te recomiendo que hagas un repaso acerca de las características de las RESISTENCIAS EN SERIE Y EN PARALELO que se encuentran en 8 EN LA CLASE.
Bien! hecho el repaso a CONCIENCIA!… procedemos a iniciar este tema. Inicialmente el concepto de Circuito que empleamos es el de tramo cerrado, es decir como en una pista de automovilismo en la que damos vueltas y vueltas; en electricidad quiere decir que todas las conexiones están realizadas, no hay rupturas ni cables sueltos. Como segunda cualidad ; un circuito eléctrico entrelaza diferentes elementos eléctricos, BATERÍA (Generador) o FUENTE DE VOLTAJE, CABLE CONDUCTOR, RESISTENCIAS (Bombillas, Generadores, etc) e INTERRUPTOR como mínimo; de ahí le puedes agregar lo que quieras o necesites.
En este primer caso CIRCUITO ELÉCTRICO EN SERIE, todos los elementos van uno tras otro SIN derivaciones o desviaciones:

La representación simbólica de este circuito es:

Vamos a darle unos valores a las Resistencias (Bombillas en este caso) y a la Fuente de Voltaje (Pila), CERREMOS el Circuito y observemos que la Corriente Total del circuito (IT) no se desvía hacia ningún lado; Sale del polo Positivo de la Pila atravesando el interruptor, circulando por el hilo conductor, llegando inicialmente a la Bombilla de 24 Ohmios la cual consume parte del voltaje que envía la Pila para poder encenderse y luego continua hacia la otra bombilla de 15 Ohmios, la enciende y retorna a la pila.

La corriente Total no se ha dividido en su recorrido, es decir es la misma en cada Resistencia:

Pero el voltaje Total de 9 Voltios fue consumido por las dos bombillas, es decir:

En el próximo tema, realizaremos un ejemplo de cálculo para comprender mejor.
TU PROFE JULIO ESTUPIÑAN
CALCULO DE UN CIRCUITO ELÉCTRICO EN SERIE
PRIMER PASO: Hallamos la Resistencia Total del Circuito, como se encuentran en serie aplicamos la fórmula:

En nuestro caso anterior:

Nuestro nuevo circuito sería:

SEGUNDO PASO: Ahora si podremos aplicar la Ley de Ohm, para hallar el valor de la Intensidad de Corriente (IT):

TERCER PASO: Conociendo el amperaje del circuito y sabiendo que es igual en todas las resistencias por encontrarse estas en Serie, podemos hallar el voltaje consumido cada resistencia:

CUARTO PASO: Podemos comprobar sumando estos dos voltajes cuan cercanos estamos del valor de la Pila: 3.45 V+5.52 V=8.97 V; lo cual indica un error de 0.03 V por uso de decimales.
Repasa varias veces este ejercicio, cámbiale los datos y calcula tus propios circuitos verificando si te acercas a los valores reales.
TU PROFE JULIO ESTUPIÑAN.


Tomado de: hábitos.mex y caricatura de Pizarro
CÁLCULO DE UN CIRCUITO ELECTRICO PARALELO
Inicialmente verificamos el circuito para determinar si hay bifurcaciones en el recorrido (estas reciben el nombre de NODOS), en el caso mostrado la corriente se divide en dos en este lugar:

Cuando el circuito se cierra y la corriente inicia su circuito (IT) llega al primer nodo (n1) y se divide en dos (I1y I2), en una cantidad proporcional a la resistencia de cada receptor (bombillas en este caso), la corriente atraviesa los receptores que se encienden y llegan al segundo nodo donde se unen nuevamente, cerrando el circuito:

Para calcular este circuito debemos tomar las dos resistencias en paralelo y unificarlas en una sola resistencia (simplificamos el circuito que pasa de paralelo a serie), seguimos los siguientes pasos:
PRIMERO: Sumamos las resistencias del circuito serie para hallar RT empleando la ecuación:

SEGUNDO: Al unificarse la corriente que pasa por la nueva resistencia Total es IT:

El nuevo circuito como puedes ver es un circuito en serie, luego en él se puede aplicar la ley de Ohm para hallar el valor de la corriente total (IT):

Este amperaje(A) circula por todo el circuito, pero como lo habíamos dicho anteriormente se subdivide al entrar al primer nodo (n1) de una manera acorde a cada resistencia, de tal forma:

A diferencia de un circuito serie, en el circuito paralelo mientras la corriente total es la suma de las corrientes parciales (divididas en el nodo), el Voltaje total es constante, es decir:

Esta última ecuación nos indica que es posible calcular entonces las corrientes parciales, aplicando la ley de Ohm para cada resistencia específica:

Como podemos verificar la suma de estos dos valores es la corriente total del circuito:

El circuito calculado en su totalidad se representaría así:

ATTE TPJ
GRADO DÉCIMO (10.06)
Esta semana estudiaremos LA CINEMÁTICA para complementar la DINÁMICA con miras a nuestro proyecto.
CINEMÁTICA
TODO se encuentra en movimiento… ¿Tiene nuestra propuesta de diseño… movimiento incorporado?
En el caso que nuestra vivienda inteligente, nos abra las puertas automáticamente por ejemplo; …. debemos diseñar estos mecanismos que se mueven, veamos que se hace necesario para dotar de mecanismos de movimiento a nuestro proyecto:
CONCEPTOS PREVIOS
Para reconocer y comprender el concepto de movimiento hay otros elementos que debemos repasar:
TIEMPO-ESPACIO
Estos dos conceptos están íntimamente relacionados a al punto que se puede decir que el uno no existe sin el otro. Si hablamos del tiempo históricamente este ha tenido una gran evolución:
ESTRUCTURAS DISEÑADAS PARA EL MOVIMIENTO:
¿Puedo conocer la velocidad mediante la trayectoria del movimiento de un objeto?



Para evitar confusiones en esta guía debemos aclarar una diferencia fundamental entre TRAYECTORIA y DESPLAZAMIENTO. Yo puedo hacer una infinidad de trayectorias entre dos puntos, pero solo desplazarme un espacio corto. De acuerdo a los anteriores conceptos podemos clasificar los principales movimientos de la CINEMÁTICA:
Recuerda que dependiendo de la forma de movimiento que tenga el objeto, así mismo varía su análisis.
¿COMO SE MUEVE LA NATURALEZA?
TPJ
Atte TPJ
Movimiento Lineal con Velocidad Constante (MUC)
A pesar de que en el mundo real es difícil reproducir una condición de movimiento constante a la perfección, a veces quisiéramos que algunos mecanismos se comportan de manera constante; por ejemplo en una línea de producción quisiéramos que la máquina que tapa las botellas lo hiciera exactamente cuando la botella se coloca en la posición adecuada, para lo cual debemos garantizar que las botellas se encuentren separadas por igual y viajen a una velocidad constante para que ninguna se adelante ni se atrase. Este movimiento también es llamado MOVIMIENTO UNIFORMEMENTE CONTINUO (M.U.C.) La relación que regula dicho movimiento es:


Este concepto de velocidad debe ser diferenciado del concepto de velocidad promedio el cual representa la velocidad a la que debió viajar un vehículo a pesar de cambios de velocidad en su recorrido o trayectoria; en otras palabras es la velocidad medida en el desplazamiento lineal que hubiese realizado el vehículo entre los puntos de partida y de llegada. Entonces mantener una velocidad constante es diferente a tener una velocidad promedio. La velocidad promedio se simboliza así: El ejemplo 1 ilustra este primer caso. Este tema es sencillo, cierto !: TPJ
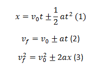
Movimiento Lineal Horizontal Uniformemente Acelerado (MUA)


Esta es la condición real de la mayoría de los movimientos que se caracterizan por atrasarse o adelantarse en la unidad de tiempo, los medios de transporte y todo objeto que posee una masa se ve afectado por su peso, por la fricción y otros factores que no permiten un movimiento constante, ni perfecto. El cuerpo experimenta variaciones iguales en su velocidad durante tiempos iguales. Este movimiento también es llamado MOVIMIENTO UNIFORMEMENTE ACELERADO (M.U.A.) Las relaciones que regulan dicho movimiento son: De acuerdo con el problema y los datos que se tienen se selecciona la ecuación a emplear, como se ve en el ejemplo 2:
Trata de tener en cuenta las recomendaciones.
TPJ
Movimiento lineal vertical uniformemente acelerado: caída o subida libre.



veamos la aplicación en los ejemplos 5 y 6 :


Tomado de: hábitos.mx y caricatura de Pacocat
TALLER DE MOVIMIENTO ACELERADO
Guía inicial de Repaso de movimiento acelerado lineal : TALLER CINEMÁTICA 10
Guía de movimiento vertical GUIA DE CINEMÁTICA MOVIMIENTO VERTICAL
Guía de movimiento parabólico TALLER 2 CINEMÁTICA 10
GRADO OCTAVO (8.03)
Iniciamos el tema central de nuestro grado sobre la TERMODINÁMICA ( VER LOS SIGUIETNES VIDEOS Y HACER UN RESUMEN EN EL CUADERNO):
Gracias!

