Bienvenidos a este nuevo ciclo de conferencias en CIENCIAS NATURALES INTEGRADAS desde la FÍSICA.
Como ya sabrás regresamos a la PRESENCIALIDAD y a la posibilidad de construir colectivamente el conocimiento.
Nuestro horario para este año será el siguiente:

NORMAS DE BIOSEGURIDAD
Obligatorio y correcto uso del tapabocas, lavado frecuente de manos, evitar el contacto estrecho durante tiempos prolongados, airear los espacios en los que nos encontramos.
9.02 y 10.02 Laboratorio de Masa, Volumen y Densidad
Los estudiantes de grado 9.02 y 10.02 experimentaron con los conceptos de MASA, VOLUMEN y DENSIDAD durante esta semana. Para ello se capacitaron en conceptos como los siguientes:
Medición de Volumen según principio de Arquímedes
Dado que un cuerpo al introducirse en un volumen determinado de un fluido desplaza el mismo espacio que ocupa, podemos calcular el volumen de cualquier objeto con este principio.
Este principio también se conoce como «PRINCIPIO DE FLOTACIÓN»

Nos garantiza que un objeto flote siempre y cuando como mínimo se cumpla que W=E

Medición con calibrador y balanza de tres brazos
Nos capacitamos en la medición mediante el calibrador pie de rey y la balanza de 3 brazos


Algunas imágenes evidencia de este laboratorio son:
un ejemplo de los informes presentados en el classroom :

10.02 Laboratorio de Estática
A partir del conocimiento de diferentes mecanismos en estática tales como planos inclinados, poleas y palancas, procedemos a hacer cálculos de un montaje para el concepto de estática.
CASO 1 CUERPO QUE REPOSA SOBRE UNA SUPERFICIE HORIZONTAL Y SE LE APLICA UNA FUERZA HORIZONTAL




(En este ejemplo: La caja pesa 30 Kg, el coeficiente de fricción es de 0,3 ¿Cuál es la fuerza aplicada máxima?)PASO 1 : COLOCAMOS TODAS LAS FUERZAS, Recordando que ante una ACCIÓN existe una REACCIÓN (Tercer ley de Newton) . La caja PESA (W), el suelo reacciona con la NORMAL (N), la FUERZA (F) empuja la caja, y el piso se opone al movimiento con la FUERZA DE ROZAMIENTO (Fr).PASO 2: HACEMOS SUMATORIAS DE FUERZAS IGUALES A CERO (ESTÁTICA) PARA CADA EJE CARTESIANO.PASO 3 : SUSTITUIMOS DATOS .Con estas ecuaciones y los datos del problema hacemos una sustitución inicialLa fuerza máxima que se puede aplicar para que la caja se quede quieta es de 90 N, si por algún motivo aplico 90,1 N la caja comenzará a moverse lentamente y en la medida que aumenta esta fuerza se moverá más rápido.
Tu PROFE JULIO
CASO 2 CUERPO QUE REPOSA SOBRE UNA SUPERFICIE HORIZONTAL Y SE LE APLICA UNA FUERZA INCLINADA







(En este ejemplo: La caja pesa 30 Kg, el coeficiente de fricción es de 0,3 ¿Cuál es la fuerza aplicada máxima en esta condición?)PASO 1 : COLOCAMOS TODAS LAS FUERZAS, Recordando que ante una ACCIÓN existe una REACCIÓN (Tercer ley de Newton) . La caja PESA (W), el suelo reacciona con la NORMAL (N), la FUERZA (F) empuja la caja y se descompone según triángulo pitagórico en una fuerza vertical (Fy) que contribuye al peso y una fuerza horizontal (Fx) que genera en el piso una fuerza que se opone al movimiento : la FUERZA DE ROZAMIENTO (Fr).PASO 2: HACEMOS SUMATORIAS DE FUERZAS IGUALES A CERO (ESTÁTICA) PARA CADA EJE CARTESIANO.PASO 3 : SUSTITUIMOS DATOS .Con estas ecuaciones y los datos del problema hacemos una sustitución inicialDebemos recordar que Fx , Fy son componentes trigonométricas es decir:Tenemos dos ecuaciones con dos incógnitas, podemos aplicar cualquier método de resolución (reducción, determinantes, igualación, sustitución o gráfico), emplearemos sustitución en este caso:La fuerza máxima que se puede aplicar para que la caja se quede quieta es de 371.9 N. El aumento de la fuerza aplicada es enorme, debido a que gran parte de esta fuerza la está asumiendo el piso (en otras palabras ese empuje hacia abajo aumenta el peso de la caja):De todas formas si por algún motivo aplico 372 N la caja comenzará a moverse lentamente y en la medida que aumenta esta fuerza se moverá más rápido.
TU PROFE JULIO
CASO 3 CUERPO QUE REPOSA SOBRE UNA SUPERFICIE HORIZONTAL INCLINADA Y SE LE APLICA UNA FUERZA EN DIRECCIÓN DEL PLANO






(En este ejemplo: La caja pesa 30 Kg, el coeficiente de fricción es de 0,3 ¿Cuál es la fuerza aplicada máxima en esta condición?)PASO 1 : COLOCAMOS TODAS LAS FUERZAS, Recordando que ante una ACCIÓN existe una REACCIÓN (Tercer ley de Newton) . La caja PESA y en este caso se descompone según triángulo pitagórico en una fuerza vertical (Wy) ante la cual el suelo reacciona con la NORMAL (N), y una fuerza horizontal (Wx) , el empuje de la fuerza aplicada (F) ante la cual, la fuerza de Fricción (Fr) reacciona.PASO 2: HACEMOS SUMATORIAS DE FUERZAS IGUALES A CERO (ESTÁTICA) PARA CADA EJE CARTESIANO.PASO 3 : SUSTITUIMOS DATOS .Con estas ecuaciones y los datos del problema hacemos una sustitución inicialTenemos dos ecuaciones con dos incógnitas, podemos aplicar cualquier método de resolución (reducción, determinantes, igualación, sustitución o gráfico), emplearemos sustitución en este caso:La fuerza máxima que se puede aplicar para que la caja se quede quieta es de 227.4N. La disminución de la fuerza aplicada es relativa debido a que gran parte del peso de la caja se reparte entre el piso y una fuerza en dirección contraria al movimiento (este empuje hacia abajo aumenta la fuerza de empuje que debe aplicar) Interesante sería si yo empujara en la misma dirección de esta componente del peso (Wx), mi fuerza de empuje disminuiría enormemente, es más la caja hasta podría bajar sola por su propio peso.
Espero les sirva
ATTE TU PROFE JULIO ESTUPIÑAN
TRABAJANDO SOBRE EL DIAGRAMA DEL CUERPO LIBRE
Todo mecanismo por complejo que parezca tiene solución, y esa solución reviste de los siguientes pasos a seguir, veamos mediante un ejemplo la solución: Calcular la Fuerza máxima a aplicar para que el mecanismo permanezca quieto, si el bloque tiene 4 kg y el coeficiente de fricción es 0.5:
1 PASO: DIAGRAMA DEL CUERPO LIBRE O DIAGRAMA DE FUERZAS, se colocan todos los vectores ACCIONES Y REACCIONES POSIBLES EN EL MECANISMO.

2 PASO SEPARAMOS LOS MECANISMOS, en las tensiones de las cuerdas hacemos cortes y encontramos dos mecanismos para este caso:

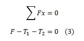
3 PASO SUMATORIAS DE CADA MECANISMO Mecanismo 1Mecanismo 2Ecuaciones generales adicionales:Con estas ecuaciones podemos seguir al siguiente paso.

4 SOLUCIÓN MEDIANTE MÉTODOS ALGEBRAICOS:
Esta ecuación es la solución al mecanismo, ahora reemplacemos los datos.





Durante el laboratorio con 10.02
Algunas imágenes del desarrollo de este laboratorio son:
11.02 Laboratorio de Lentes y Espejos
Para la realización de este laboratorio nos preparamos en los cálculos geométricos y matemáticos concernientes a los fenómenos de REFRACCIÓN y REFLEXIÓN que hemos estudiado desde la teoría CORPUSCULAR de Newton.
Inicialmente indagamos acerca de los diferentes elementos que integran el laboratorio.
En el laboratorio se pide comparar por tres métodos la creación de imágenes, método gráfico, método analítico y experimental. Algunas imágenes del trabajo de le laboratorio son:




Para finalizar se calcula el error absoluto y el error relativo de la triangulación de datos, se elabora un informe con las respectivas conclusiones.















