
Horario de trabajo Semanal de Clases. Las clases en color Rojo son asincrónicas. Los enlaces a las clases se encuentran en CLASSROOM
SEMANA DE NIVELACIÓN 3
GRADO ONCE (11.1-11.2-11.3-11.4-11.5-11.6)
Durante esta semana trabajamos en el repaso de 3 temas principales de la HIDRÁULICA : el principio de BERNOULLI, el principio de TORRICELLI y el la ECUACIÓN DE LA CONTINUIDAD:
En el Classroom tenemos nuestro ejercicio de aplicación a realizar.
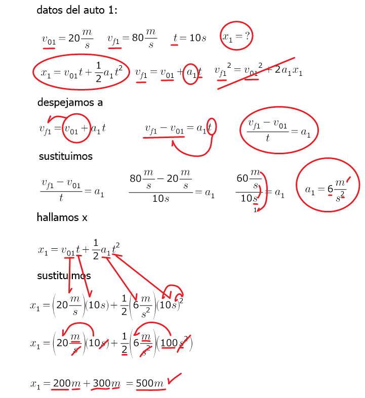
GRADO DÉCIMO (10.6)
Durante esta semana de repaso trabajamos de repaso el tema de MOVIMIENTO VERTICAL RECTILÍNEO:
Recordamos el ejercicio anterior de donde vienen sus ecuaciones explicamos el ejercicio anterior:





GRADO NOVENO (9.3-9.7)
Durante la semana de Nivelación realizamos repaso de las LEYES DE LA TERMODINÁMICA:
Elabora un resumen y lo subes al Classroom.
